ANUNȚ
Primăria Comunei Năruja informează fermierii că, în perioada 16 martie – 30 mai 2026, se depun la APIA cererile de plată aferente Campaniei 2026.
Important
Pentru eliberarea adeverinței necesare la APIA au prioritate fermierii care au programare în luna martie, urmând ca ulterior să fie deserviți și ceilalți fermieri.
Documente necesare pentru eliberarea adeverinței:
• Declarația APIA pentru anul 2025
– alte documente de proprietate, posesie [ exemplu: contract de arenda, declaratii notariale de utilizare a unor suprafete, carti funciare, donatii, etc)
Atentie declaratiile notariale, contractele de arenda trebuie sa specifice de la cine uitilizati, blocul fizic, tarlaua, parcela si perioada de utilizare!
Contact: 0763 188 332
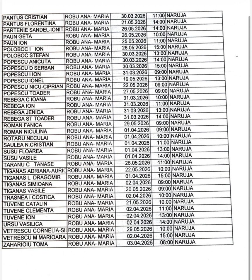
Va rugam sa respectati ordinea programarilor conform tabelului atasat pentru a evita aglomerarea si pentru a facilita accesul persoanelor programate.
Pentru o buna organizare va recomandam sa apelati numarul de telefon 0763188332 pentru programari sau sa va prezentati la Primarie cu 1-2 zile inainte de programarea la sediul Apia.
Primăria comunei Năruja



